If `x y z = 6 and x^2 y^2 z^2= ` then the value of `x^3 y^3 z^3 3xyz` is Click here to get PDF DOWNLOAD for all questions and answers of this chapter Class 14 SSC GRADUATE LEVEL TIREI EXAM (SET22) In order to find the formula of x³ y³ z³, we need to send 3xyz to the right side of equal sign Thus the formula becomes, x³ y³ z³ = (x y z) (x² y² z² – xy – yz– zx) 3xyzयदि x = 332, y = 333 और z = 335 तो x 3 y 3 z 3 – 3xyz का मान ज्ञात Price of a commodity has increased by 60% By what percent must a cons
3 Y3 For Sale Off 67
X^3+y^3+z^3-3xyz formula
X^3+y^3+z^3-3xyz formula- If x^2 y^2 z^2 = a^2 and x y z = x^3 y^3 z^3 = a, then write xyz expicitly in terms of aX 3 y 3 z 3 = { (x y z) × (x 2 y 2 z 2 xy yz zx)} 3xyz



Verify That X3 Y3 Z3 3xyz 1 2 X Y Z X Y 2 Y Z 2 Z X 2 Class 9th Ex 2 5 Question 12 Youtube
The (a b)^3 formula is used to find the cube of a binomial the formula for the cube of the sum of two terms What is the whole cube of a B 3? $$\underbrace{x^3y^3}z^33xyz = \underbrace{(xy)^33xy(xy)}z^33xyz$$ $$=\underbrace{(xy)^3z^3}\underbrace{3xy(xy)3xyz} $$ $$=\underbrace{\{(xy)z\}}\{(xy)^2(xy)zz^2\}3xy\underbrace{\{(xy)z\}} \left(\text{ using } a^3b^3=(ab)(a^2abb^2)\text{ for the first two terms }\right) =(xyz)\{(xy)^2(xy)zz^2There are two formula of it 1 x^3 y^3 z^3 3xyz = (xyz) (x^2y^2z^2xyyzzx) 2 x^3 y^3 z^3 3xyz = (1/2) (xyz) {xy)^2(yz)^2(zx)^2}
If x = 551, y = 552 and z = 557, then what is the value of x 3 If x = 551, y = 552 and z = 557, then what is the value of x 3 y 3 z 3 – 3xyz?23 View Full Answer spark8h, added an answer, on spark8h answered thisUsing implicit differentiation, I) (partial)z/(partial)x from the formula x^3 2y^3 z^3 ?
X 3 y 3 z 3 3xyz = (xy) 3 3x 2 y 3xy 2 z 3 3xyz = (xy) 3 z 3 3xy (xyz) = (xyz) (xy) 2 z (xy) z 2 3xy (xyz) = (xyz) (x 2 2xyy 2 xzyzz 2 3xy) = (xyz) (x 2 y 2 z 2 xyyzzx) bởi Nguyễn Thanh Huyền Like (1) Báo cáo sai phạm(xyz)^3 (x y z)(x y z)(x y z) We multiply using the FOIL Method x * x = x^2 x * y = xy x * z = xz y * x = xy y * y = y^2If x = 255, y = 256, z = 257, then find the value of x 3 y 3 z 3 3xyz 1 1378 2 2304 3 1876 4 1984 5 2105



Solved 0 Given X3 Y3 Z3 3xyz X Y Z X2 Y2 Z2 Chegg Com



Verify That X 3 Y 3 Z 3 3xyz Frac 1 2 X Y Z X Y 2 Y Z 2 Z X 2 Snapsolve
Find the value of x 3 y 3 z 3 3xyz if x 2 y 2 z 2 = x y z = 15 check_circleAnswer Given, (x y z) = u, (xy yz zx) = v and (x^3 y^3 z^3 3xyz) = w Now, (x^2 y^2 z^2) = {(x y z)^2} 2 * (xy yz zx) Or, (x^2 y^2 z^2) = (u^2 2v) We know, x^3 y^3 z^3 3xyz = (x y z) * (x^2 y^2 z^2 xy yz zx) Or, w = u * (u^2 2v v) Or This equation cannot but remind us of the Ramanujan 1729 number !Transcribed image text Using implicit differentiation, find from the formula x3 2y8 z3 3xyz 2y 3 = 0 Using implicit differentiation, find from the formula x (cos y) y(cos z) z(cos x) = 1



If X Y Z 0 Then Show That X3 Y3 Z3 3xyz



Exercise
The answer is yes, the rational points on your surface lie dense in the real topology Let's consider the projective surface S over Q given by X 3 Y 3 Z 3 − 3 X Y Z − W 3 = 0 It contains your surface as an open subset, so to answer your question we might as well show that S ( Q) is dense in S ( R) Observe that S has a singularN(ˇ) = (1 )(1 2) = 3 Since 3 is prime in Z, (11) implies then that 1 is prime in R For a, b2Z, ab ab(mod ˇ), so the natural map Z=(3) !R=(ˇ) is a surjection of elds, hence an isomorphism Now it is more than enough to show that the equation x3 y3 = u(ˇkz)3 (12) has no solution in Rwith ua unit, k 1;x, y, and zpairwise coprime and= 3x4y2 8x2 4y3 (Note x fixed, y independent variable, z dependent variable) 2 If z = f(x,y) = (x2 y3)10 ln(x), then the partial derivatives are ∂z ∂x = x(x2 y3)9 1 x (Note We used the chain rule on the first term) ∂z ∂y = 30y 2(x y3)9 (Note Chain rule again, and second term has no y) 3 If z = f(x,y) = xexy, then the partial derivatives are ∂z



Algebra Formulas A B 3 A B 2 A B C 3 A 3 B 3 Teachoo Algebra Formulas Basic Algebra Math Formulas



2
Ex 25, 9Verify (i) x3 y3 = (x y) (x2 – xy y2)LHS x3 y3We know (x y)3 = x3 y3 3xy (x y)So, x3 y3 = (x y)3 – 3xy (x y) = (x y)3 – 3xyPasos para resolver una ecuación lineal xyz=3xyz x y z = 3 x y z Resta 3xyz en los dos lados Resta 3 x y z en los dos lados xyz3xyz=0 x y z − 3 x y z = 0 Resta y en los dos lados Cualquier valor restado de cero da como resultado su valor negativoLearn about Algebra Formula, Equations and List of Basic Algebraic Formulas & Expression in Math Algebra includes real numbers, complex numbers, matrices, vectors and many other topics x 3 y 3 z 3 −3xyz=(xyz)(x 2 y 2 z 2 −xy−yz−xz) x 2 y 2 =1/2(xy) 2 (x−y) 2 These values are commonly represented in algebra by



Log9x Log 3 X 3 2 Detailed Login Instructions Loginnote



If X Y Z 6 And Xy Yz Zx 10 Then What Is The Solution Of X 3 Y 3 3xyz Mathematics
Factoring Calculator Online calculator factors single variable or multivariable polynomial with step by step explanations Start by entering your expression in the formula pane below Example x 4 x 2 1, x 6 64 y 6, x 3 y 3 z 3 − 3 x y z Solve Factoring Calculator Equation SolverSolution (By Examveda Team) Given, x y z = 0 Cubing both side, (x y z) 3 = 0 x 3 y 3 z 3 3xyz = 0 using formula x 3 y 3 z 3 = 3xyzX^3y^3z^33xyz=(xyz)(x^2y^2z^2xyyzzx)a^3b^3c^33abc=(abc)(a^2b^2c^2abbcca)a^3b^3c^33abc formula proofx^3y^3z^33xyz formula proofa



Prove That X Y 3 Y 3 3 Z X 3 3 X Y Y Z Z X 2 X3 Y3 Z3 3xyz Maths Number Systems Meritnation Com



Pdf On Some Properties Of Xi Yi Zi Dxyz X3 Y3 Z3 Dxyz And X6 Y6 Z6 Dxyz And A Critique Of Solutions For The Markoff Equation X2 Y2 Z2 Axyz
Therefore x 3 y 3 z 3 = 3xyz Similarly 3xyz = 0 Therefore (3x3y3z3) = 3 (3x) (y) (z) = 27x3y3z3 = 9xyz Was this answer helpful? X = 1 b) Write a formula to find the volume of the solid generated by the revolution, about xaxis, of the area bounded by the curve y = f(x), the xaxis and the ordinates (x 3 y 3 z 3 —3xyz), show that = 9(xyz)2 b) State Euler’s theorem for homogeneous functions and apply it to show thatThe (a – b) 3 formula is also known as one of the important algebraic identities It is read as a minus b whole cube Its (a – b) 3 formula is expressed as (a – b) 3 = a 3 – 3a 2 b 3ab 2 – b 3 How To Simplify



2



Pdf On Solving The Diophantine Equation 𝑥 𝑦 𝑧 𝑘 On A Vector Computer
Answer The formula of x 3 y 3 z 3 – 3xyz is written as latexx^ {3} y^ {3} z^ {3} – 3xyz = (x y z) (x^ {2} y^ {2} z^ {2} – xy – yz – zx) /latex Let us prove the equation by putting the values of x = 1 y = 2 z = 3 Let us consider LHS of the equation LHS = x 3 y 3 z 3 – 3xyzX^3 y^3 z^3 3xyz x3 y3 z3 −3xyz The above polynomial is a symmetric polynomial because you can switch any two variables and still get the same polynomial Thus, we can express it in terms of the elementary symmetric polynomials In this case,So,x3y3z3−3xyz=(xyz)(x2y2z2−xy−yz−zx) =(xyz)((xyz)2−3xy−3yz−3zx) =(xyz)((xyz)2−3(xyyzzx) =9(92−3×23) =9(81−69) =9×12 =108 (a) 108 Suggest corrections 0 Upvotes



2



Verify That X3 Y3 Z3 3xyz 1 2 X Y Z X Y 2 Y Z 2 Z X 2 Class 9th Ex 2 5 Question 12 Youtube
If x y z = 0, show that x^3 y^3 z^3 = 3xyz (with Video) Ex 25, 13If x y z = 0, show that x3 y3 z3 = 3xyz We know that x3 y3 z3 3xyz = (x y z) (x2 y2 z2 xy yz zx) Putting x y z = 0,x3 y3 z3 3xyz = (0) (x2 y2 z2 xy yz zx)x3 y3 z3 3xyz = 0 x3 y3 z3 = 3xyz Hence pro For $X,Y,Z\in\mathbb{R}$, let $$\begin{align}F(X,Y,Z)&=X^3Y^3Z^33XYZ\\&=(XYZ)(X^2Y^2Z^2YZZXXY)\end{align}$$ and $$G(X,Y,Z)=aXbYcZ1\,,$$ where $a$, $b$, and $c$ are fixed real numbers The task is as follows $$\begin{array}{ll}\text{optimize}&F(X,Y,Z) \\\text{subject to} &A 5146 B 5146 C D Please scroll down to see the correct answer and solution guide



Verify That X3 Y3 Z3 3xyz X Y Z 2 X Y Y Z X Z Brainly In



How To Factorise Using The Identity X3 Y3 Z3 3xyz X Y Z X2 Y2 Z2 Xy Yz Zx Youtube
If x y z = 8 and xy yz zx = find the value of x3 y3 z3 3xyz If x y z = 8 and xy yz zx = find the value of x 3 y 3 z 3 3xyz how_to_reg Follow In this question formula a 3 b 3 c 3 3abc = (abc)(a 2 b 2 c 2 abbcca) is used LHS part (xy) 3 (yz) 3 (zx) 3 3(xy)(yz)(zx) =(xy yz zx(x y) 3 = x 3 3x 2 y 3xy 2 y 3 Example (1 a 2 ) 3 = 1 3 31 2 a 2 31(a 2 ) 2 (a 2 ) 3 = 1 3a 2 3a 4 a 6 (x y z) 2 = x 2 y 2 z 2 2xy 2xz 2yz



Using Properties Of Determinants Prove That X Y Z X 2 Y 2 Z 2 X 3 Y 3 Z 3 Xyz X Y Y Z Z X Sarthaks Econnect Largest Online Education Community



Ex 2 5 12 Verify That X3 Y3 Z3 3xyz 1 2 Ex 2 5
যদি x = 1, y = 2 এবং z = 3 এর মান সন্ধান করে (i) `x^(3) y^(3) z^33xyz` (II) `3xy^(4) 15 x^(2) y 4z` Books Physics NCERT DC Pandey Sunil Batra HC Verma Pradeep Errorless Chemistry NCERT P Bahadur IITJEE Previous Areas of Parallelograms and Triangles Circles Coordinate Geometry HeronsIf xyz=0 then prove that x^3y^3z^3 = 3xyz Ask questions, doubts, problems and we will help youРешайте математические задачи, используя наше бесплатное средство решения с пошаговыми решениями Поддерживаются базовая математика, начальная алгебра, алгебра, тригонометрия, математический анализ и многое другое



Q 12 Factorise The Expression X Y Z 3 X3 Y3 Z3 Into Linear Factors Youtube



Mathematics Ii Tranquileducation
It is also given that x y = 10, so that's a simple substitution 6 ( 100 − x y) And looks like this is where it ends, so we have to now recall the values of x and y 6 ( 100 − 8 ⋅ 2) 6 ( 84) = 6 ( 80 4) = 480 24 = 504 And with only mental calculations, we see that the value of x 3 − y 3 is 504 Answer is (xy z)(x^2 y^2 xyz z^2) You can check by multiplying it out Notice that each term is a perfect cube x^3 y^3 = (xy)^3 So we have a sum of cubes, and the factoring formula is a^3 b^3 = (ab)(a^2abb^2) So we use a = xy and b = z to get x^3 y^3 z^3 = (xy)^3 z^3 = ((xy) z)((xy)^2(xy)zz^2) =(xy z)(x^2 y^2 xyz z^2) check by multiplying itX y z = 10 xy yz zx = 15 Formula used x 3 y 3 z 3 3xyz = (x y z) (x y z) 2 3(xy yz zx) Calculation x 3 y 3 z 3 3xyz = (x y z) (x y z) 2 3(xy yz zx) = 10 × 10 2 3 × 15 = 10 × 100 45 = 10 × 55 = 550 ∴ required value is 550



X2 Y2 Z2 Formula



If X Y Z 0 Show That X 3 Y 3 Z 3 3x Y Z
If x y z = and x2 y2 z2 = 40 so, find the value of x3 y3 z3 – 3xyz 1 –2400 2 –2800 3 –2700 4 –2600Click here👆to get an answer to your question ️ Using the identity and proof x^3 y^3 z^3 3xyz = (x y z)(x^2 y^2 z^2 xy yz zx)You can put this solution on YOUR website!



2 Polynomials Note Blast



Let X Y Z Be Positive Reals Which Of The Following Implies X Y Z I X 3 Y 3 Z 3 3xyz Sarthaks Econnect Largest Online Education Community
Hint Use the expansion formula of $ {(x y)^3} $ Then replace $ y $ with $ y z $ to write it in three variables Then replace $ y $ with $ y z $ to write it in three variables Further expand it using the condition given in the question and simplify it in the terms of the required resultClick here👆to get an answer to your question ️ Factorize x^3 y^3 z^3 = 3xyz10Find all triples (x;y;z) of positive integers satisfying x3 3y3 9z3 3xyz = 0 11Find all integer solutions to the equation x 4 y z 4 = 9u 2 12Solve in



X Y 3



Prove That X Y3 Y Z3 Z X3 3x Yy Zz X 2x3 Y3 Z3 3xyz Maths Polynomials Meritnation Com
Solution x = 2x, y = 2y and z = 4z If x y z = 0, then x 3 y 3 z 3 = 3xyz 8x 3 27y 3 64z 3 = 3 (2x) (2y) (4z) = 48xyz After having gone through the stuff given above, we hope that the students would have understood, "x cube plus y cube plus z cube minus 3xyz" Apart from the stuff given in this section, if you need any other2y 3 = 0 (ii) Using implicit differentiation, (partial)z/(partial)y from the formula x(cos y) y(cos z) z(cos x) = 1 Best Answer This is the best answer based on feedback and ratings# x ^ 3Y ^ 3z ^ 33xyz = 0 # เสียบ # x y = Z # ในสมการข้างต้น # (y z) ^ 3y ^ 3z ^ 33 (y z) YZ y = ^ 3 3y ^ 2Z 3yz ^ 2 Z ^ 3y ^ 3z ^ 33y ^ 2Z3yz ^ 2 = 0 #



2



New Solutions Of 1 Download Table
What is A B 3?



Ex 2 5 11 Factorise 27 X3 Y3 Z3 9xyz Class 9 Ex 2 5



If X Y Z 0 Show That X3 Y3 Z3 3 Xyz Brainly In



If X Y Z 0 Then Prove That X3 Y3 Z3 3xyz Youtube



Prove That X3 Y3 Z3 3xyz X Y Z X2 Y2 Z2 Xy Yz Zx Brainly In



If X Z 225 And Y 226 Then What Is The Value Of X Y Z 3xyz Quora



Cbse 9 Math Cbse Polynomials Ncert Solutions



X3 Y3 Z3 3xyz



Polynomials Ppt Video Online Download



The Lfham Solution Of Kdv Equation Example 1 For A 0 99 For N 1 H Download Scientific Diagram



If X Y Z 0 Show That X 3 Y 3 Z 3 3xyz With Video



I Need An Example For This Formula X3 Y3 Z3 3xyz Brainly In



Factoring Formulas In Algebra What Are Factoring Formulas



If X Z 225 And Y 226 Then What Is The Value Of X Y Z 3xyz Quora



Ex 2 5 14 Without Actually Calculating The Cubes Find The Value Of



Rd Sharma Solutions For Class 7 Maths Chapter 7 Algebraic Expressions Download Free Pdf



2 Two Cube 5 Five Cube 10 Ten Cube Pdf Free Download



Evaluate X 3 Y 3 Z 3 3xyz When X 2 Y 1 And Z 3



If X Y Z 3xyz Then X Y Z Need Urgent Plz Tell



Blogerjokioqkay ベスト ƒxƒ ƒzƒ ƒn ƒaƒjƒ



Show That The Functions U X Y Z V Xy Yz Zx And W X 3 Y 3 Z 3 3xyz Are Independent And Find The Relation Between Them Mathematics



Answers



Evaluate X3 Y3 Z3 3xyz When X 2 Y 1 And Z 3 Brainly In



Ex 2 5 14 Without Calculating Find 28 3 15 3 13 3



X 3 Y 3 Z 3 3xyz X Y Z X 2 Y 2 Z 2 Xy Yz Zx A 3 B 3 C 3 3abc A B C A 2 B 2 C 2 Ab Ca Youtube



Tryumfalny Pielgrzym Rejs Z X 3 Y 3 Rekrut Prezent Definiowac



Snapsolve



Pdf On Solving The Diophantine Equation 𝑥 𝑦 𝑧 𝑘 On A Vector Computer



X Y Z 2



10 Solve For X By Using Formula 2 Sia3x 5 16x 2 Snapsolve



18 G11 Math E Elearn Punjab Elearn Punjab Binomial Theorem Elearn Punjab Sin Pubhtml5



2



Prove That X Y3 Y Z3 Z X3 3x Yy Zz X 2x3 Y3 Z3 3xyz Maths Polynomials Meritnation Com



File



2



If Math X Y Z 0 Math How Do You Prove That Math X 3 Y 3 Z 3 3xyz Math Quora



How To Divide X 3 Y 3 Z 3 3xyz By X Y Z Quora



Unit 2



2



X3 Y3 Z3 3xyz X Y Z X2 Y2 Z2 Xy Yz Zx Proof It Lhs To Rhs Brainly In



Three Variables Cubic Polynomial Formulas Maths Solutions Quadratics Math Formulas



Using The Identity And Proof X 3 Y 3 Z 3 3xyz X Y Z X 2 Y 2 Z 2 Xy Yz Zx



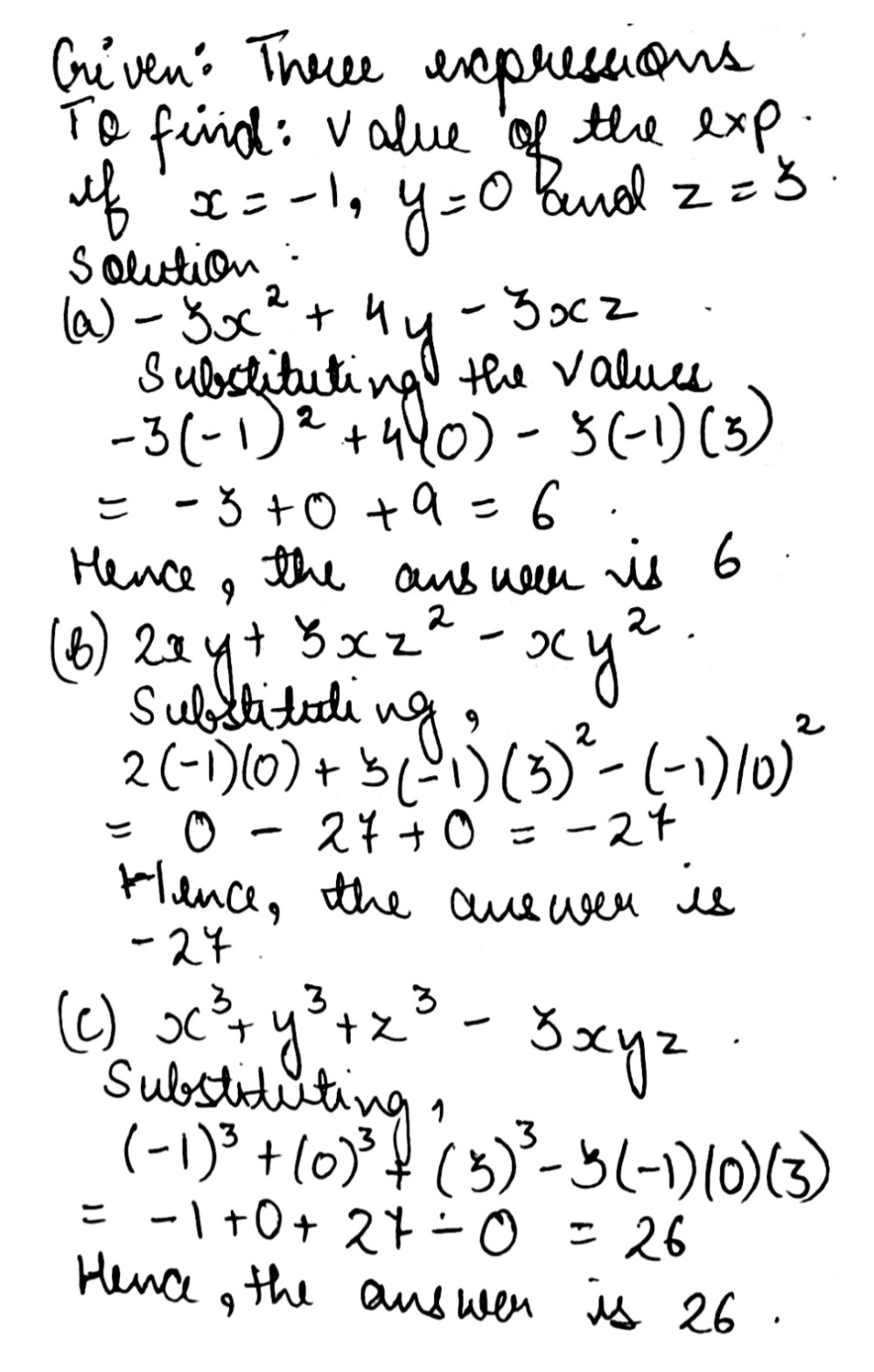
6 Find The Value Of The Expressions I X 1 Y 0 And Z 3 A 3x 2 4y 3xz B 2xy 3xz 2 Xy 2 C X 3 Y 3 Z 3 3xyz7 Cind The Value Of F X 2 Y 2 Z 2 Xy Yz Zx When X 3 Y 4 And Z 2 Snapsolve



Polynomials Ppt Video Online Download



3 Y3 For Sale Off 67



48 Mathematics Example 24



Pdf On Solving The Diophantine Equation 𝑥 𝑦 𝑧 𝑘 On A Vector Computer



11 Factorise 27r Y 2 9xy2 3x 4 3x 5 12 Verify That X Y Z 3xyz X Y Z X Y Y 2 2 X Show That X 3 Y 3 Z 3 3mm Snapsolve



Polynomials Ppt Video Online Download



If U X Y Z Log X 3 Y 3 Z 3 Find And U X U Y And U Z Sarthaks Econnect Largest Online Education Community



Find The Value Of X 3 Y 3 Z 3 3xyz If X 2 Y 2 Z 2 And X Y Z 15 Youtube



Polynomials Ppt Video Online Download



Bits Of Math Problem Cubes And Cube Roots



What Is The Formula Of X3 Y3 Z3 Book Vea



Sortie قدرة التحمل متحف X 3 Y 3 Titotopinblogtrotter Com



If X A Y B Z C Then Show That X3 A3 Y3 Z3 A Xyz Abc Mathematics Topperlearning Com Mfmw0q55



Verify That X 3 Y 3 Z 3 3xyz 1 2 X Y Z X Y 2 Y Z 2 Z



Verify That X 3 Y 3 Z 3 3xyz 1 2 X Y Z X Y 2 Y Z 2 Z X 2 Can Any One Solve This Question Edurev Class 9 Question



Ex 2 5 Q No 12 Verify X3 Y3 Z3 3xyz 1 2 X Y Z X Y 2 Y Z 2 Z X 2 Youtube



U Log X 3 Y 3 Z 3 3xyz X Y Z Ux Uy Uz



Find Div Vector F And Curl Vector F Where Vector F Grad X 3 Y 3 Z 3 3xyz Sarthaks Econnect Largest Online Education Community



Verify That X3 Y3 Z3 3xyz 1 2 X Y Z X Y 2 Y Z 2 Z X 2 Brainly In



Citeseerx Ist Psu Edu



14 X 3 Y 3 Z 3 3xyz Is A X Y Z Z 3 B X Y Z 3 C X Y Z 3 3xyz D X Y Z X 2 Y 2 Z 2 Xy Yz Zx Snapsolve



Name For The Identity X 3 Y 3 Z 3 3xyz X Y Z X 2 Y 2 Z 2 Xy Xz Zy Mathematics Stack Exchange



Differential Calculus Ii New Age International



Verify That X 3 Y 3 Z 3 3xyz 1 2 X Y Z X



X 3 Log X 100x Detailed Login Instructions Loginnote



If U Log X 3 Y 3 Z 3 3xyz And X Y Z 2u K X Y Z 2 Then K



Calculate The Unit Vector Which Is Normal To The Surface ϕ X 2y Xy 2 3xyz At The Point 1 1 1 Sarthaks Econnect Largest Online Education Community



Foliation Of The Real Projective Plane By The Family Of Elliptic Download Scientific Diagram



Vector



2



Mathematics Complex Numbers Session Session Objectives Ppt Download



Show That X3 Y3 Z3 3xyz X Y Z X2 Y2 Chegg Com



Vector



Prove That X3 Y3 Z3 3xyz Half X Y Z X2 Y2 Y2 Z2 Z2 X2 Rn Maths Polynomials Meritnation Com


No comments:
Post a Comment